نوروفارماکولوژیمغز و اعصاب

نوروفارماکولوژی؛ سیستم دوپامینرژیک و کاربردهای درمانی


» نوروفارماکولوژی


Dopaminergic system & therapeutic applications

سیستم دوپامینرژیک و کاربردهای درمانی

سیستم دوپامینرژیک و کاربردهای درمانی


Contents 

► Introduction

► Dopamine receptors

► Dopaminergic pathways

► Pathologies associated with dopamine system

► Drugs modulating dopaminergic system

► Dopamine and Reward Signaling .Addiction, ADHD & Schizophrenia

► Dopamine and CVS

► Dopamine and Emesis

فهرست 

◄ مقدمه

◄ گیرنده های دوپامین

◄ مسیرهای دوپامینرژیک

◄ آسیب شناسی های مرتبط با سیستم دوپامین

◄ داروهای تعدیل کننده سیستم دوپامینرژیک

◄ دوپامین و سیگنالینگ پاداش. اعتیاد، ADHD و اسکیزوفرنی

◄ دوپامین و CVS

◄ دوپامین و استفراغ

[دوپامین به چه دردی می‌خورد؟؛ reward و addiction مربوط به آن را قبلاً گفتیم؛] 

سنتز دوپامین


DOPA is converted so rapidly into Dopamine that DOPA levels are negligible in the brain
• Rate of synthesis is regulated by
– Catecholamine acting as inhibitor of TH
– Availability of BH4
– Presynaptic DA receptors
– Amount of activity in nigrostriatal pathway

سنتز دوپامین

DOPA آنقدر سریع به دوپامین تبدیل می شود که سطح DOPA در مغز ناچیز است.

• آهنگ سنتز توسط موارد زیر تنظیم می شود:

– کاتکولامین به عنوان مهار کننده TH عمل می کند

– در دسترس بودن BH4

– گیرنده های پیش سیناپسی DA

– میزان فعالیت در مسیر نیگرواستریاتال

[سنتز دوپامین: فنیل آلانین در دستگاه گوارش به تیروزین تبدیل می‌شود از طریق خون به CNS وارد می‌شود….DOPA وارد وزیکول می‌شود و تحت اثر آنزیم دوپا دکربوکسیلاز یک کربن دی اکسید از دست می‌دهد و می‌شود دوپامین.؛ دوپا دکربوکسیلاز در وزیکول است؛ ] 

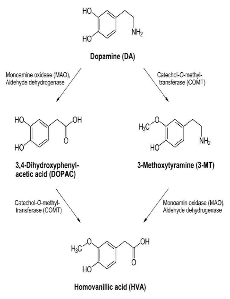
Metabolism

In rats – DOPAC major metabolite

In primates and human – HVA major metabolite

Accumulation of HVA in brain or CSF used as index of function of dopaminergic neurons

متابولیسم

در موش – DOPAC متابولیت اصلی است. 

در نخستی‌ها و انسان – HVA متابولیت اصلی است. 

تجمع HVA در مغز یا CSF به عنوان شاخص عملکرد نورون های دوپامینرژیک استفاده می شود. 

متابولیسم دوپامین

[متابولیسم دوپامین:  تحت تاثیر COMT و MAO تجزیه می‌شود. طی دو راه مختلف نهایتا HVA را به وجود می‌آورد که از طریق ادرار دفع می‌شود. که از ادرار قابل اندازه گیری است تا میزان فعالیت مسیرهای دوپامینرژیک را سنجید؛ 

انتقال سیناپسی دوپامین

سیناپس دوپامین

dopamine: DA

vesicular monoamine transporter 2: VMAT-2

monoamine oxidase: MAO

cathecol-O-methyl transferase: COMT
3-Methoxytyramine also known as 3-methoxy-4-hydroxyphenethylamine: 3-MT

aldehyde dehydrogenase: ALDH

3,4-dihydroxyphenylacetic acid: DOPAC

Homovanillic acid: HVA

dopamine transporter: DAT

norepinephrine transporter: NET

organic cation transporter 1: OCT1

Aromatic L-amino acid decarboxylase: AADC or AAAD; also known as DOPA decarboxylase: DDC

L-Tyrosine or tyrosine: Tyr or Y

Tyrosine hydroxylase: TH

3,4-dihydroxyphenylalanine: DOPA

 

پرسش: COMT آنزیم خارج یاخته ای بود. چرا در این شکل داخل یاخته‌ای است؟ 

[D2 دوپامینرژیک پیش سیناپسی مشابه alpha-2 آدرنرژیک عمل می‌کند. وقتی تحریک می‌شود جلوی ریلیز دوپامین را می‌گیرد البته ما D2 پس سیناپسی هم داریم. این هم روی cAMP اثر می‌گذارد و جلوگیری می‌کند از ورود کلسیم؛ نام دقیق حروف کوتاه شده این اسلاید را پیدا کنید!!!] 


Dopamine Receptors

 ► D1 – like family:

◦ Includes subtypes D1 and D5

◦ Activation is coupled to Gαs; activates adenylyl cylcase which leads to increase in concentration of cAMP

► D2 – like family:

◦ Includes D2, D3 and D4

◦ Activation is coupled to Gai ; inhibits adenylyl cyclase leading to decrease in concentration of cAMP

گیرنده های دوپامین  

◄ خانواده D1 مانند:

◦ شامل انواع فرعی D1 و D5 است. 

◦ فعال‌سازی وابسته به Gαs است. آدنیلیل سیلکاز را فعال می‌کند که منجر به افزایش غلظت cAMP می شود. 

◄  خانواده D2 مانند:

◦ شامل D3  D2 و D4 می‌شود. 

◦ فعال‌سازی با Gαi همراه است. آدنیلیل سیکلاز را مهار می کند که منجر به کاهش غلظت cAMP می شود. 

[پنج گیرنده دوپامینی داریم؛ D1 like معادل D1 type است؛ در اعتیاد اول D1 تحریک می‌شود cAMP افزایش می یابد. دوپامین در NAC باعث reward می‌شود؛] 

گیرنده های دوپامین

[در هر منطقه از مغز نوع گیرنده دوپامینی می‌تواند متفاوت باشد؛] گیرنده های مهاری و تحریکی دوپامین

substantia nigra pars compacts: SNpc

substantia nigra pars reticulata: SNpr

nucleus accumbens: NAC

frontopolar cortex: FPC

ventral tegmental area: VTA

[گیرنده های D متابوتروپیک GPCR هستند؛ برای ایجاد مدل های حیوانی اوتیسمی والپروات و یا جیوه تزریق می‌کنند؛ روش های محاسبه حافظه: است ثرو، استپ داون، موریس واتر میز؛ مورفین، گابا و STZ (Streptozotocin باعث تخریب حافظه می‌شود؛ برخی state dependent learning یا حافظه وابسته به وضعیت دارند یعنی چیزی مشابه اعتیاد دارند. به این صورت که مورفین تزریق شود و آزمون حافظه کرفته شود نتیجه: فراموشی ولی امروز تزریق مورفین روز بعد در همان مکان به همان میزان تزریق مورفین سپس آزمون حافظه نتیجه: یادآوری عالی. این مدلی از حافظه است؛ ساختار D1 و ساختار D2 فرق می‌کند.] 


Modulation of dopaminergic system

تعدیل سیستم دوپامینرژیک

تعدیل سیستم دوپامینرژیک

CNS: CENTRAL NERVOUS SYSTEM 

GIT: GASTROINTESTINAL SYSTEM 

CVS: CARDIOVASCULAR SYSTEM


Dopaminergic pathways

► Mesolimbic Pathway

► Mesocortical Pathway

► Nigrostriatal Pathway

► Tuberoinfundibular Pathway

مسیرهای دوپامینرژیک

◄ مسیر مزولیمبیک 

◄ مسیر مزوکورتیکال 

◄ مسیر نیگرواستریاتال

◄ مسیر توبرواینفوندیبولار

[۴ راه دوپامینرژیک؛ مزولیمبیک: در اعتیاد جسم سلولی در VTA است و آکسون می‌رود NAC؛ مزوکورتکس: جسم سلولی در VTA و آکسون می‌رود کورتکس؛  نیگرواستریاتال:  جسم سلولی در SN و آکسون می‌رود به استریاتوم؛ توبرواینفوندیبولار از هیپوتالاموس می رود به هیپوفیز] 

Dopaminergic pathways

مسیرهای دوپامینرژیک

[مردها ساده زندگی می کنند بنابراین در تشخیص رنگ مشکل دارند و کوری رنگ دارند ولی خانم ها چون دنبال رنگ هستند…😀] 

Significance of Dopaminergic Pathways

► Mesolimbic Pathway

◦ Associated with pleasure, reward and goal directed behavior

► Mesocortical Pathway

° Associated with motivational and emotional responses

► Nigrostriatal Pathway

◦ Involved in coordination of movement (part of basal ganglia motor loop)

►  Tuberoinfundibular Pathway

◦Regulates secretion of prolactin by pituitary gland and Involved in maternal behavior

اهمیت مسیرهای دوپامینرژیک

◄ مسیر مزولیمبیک

◦ با لذت، پاداش و رفتار هدفمند مرتبط است. 

◄ مسیر مزوکورتیکال

° با پاسخ های انگیزشی و عاطفی مرتبط است. 

◄ مسیر نیگرواستریاتال

◦ در هماهنگی حرکت (بخشی از حلقه حرکتی عقده های قاعده‌ای)

◄ مسیر توبرواینفاندیبولار

◦ترشح پرولاکتین توسط غده هیپوفیز را تنظیم می کند و در رفتار مادرانه دخالت دارد. 

[goal directed behavior یعنی رفتار هدفمند؛ توصیف هر یک از اصطلاحات را یاد بگیرید زیرا هر یک از اصطلاحات توصیف روانپزشکی دارند.] 


Pathologies associated with dopamine system

DECREASED DOPAMINEINCREASED DOPAMINE

 ► PARKINSON’S DISEASE

►   ADHD

►   IMPULSE CONTROL  DISORDER

►    DRUG ADDICTION

►   HYPERPROLACTINEMIA

► SCHIZOPHRENIA

آسیب شناسی مرتبط با سیستم دوپامین

افزایش دوپامینکاهش دوپامین
◄ اسکیزوفرنی

◄ بیماری پارکینسون

◄ اختلال نقص توجه-بیش‌فعالی

◄ کنترل تکانه اختلال

◄ اعتیاد به مواد مخدر 

◄ هایپرپرولاکتینمی


بیماری پارکینسون

بیماری پارکینسون


Parkinson’s disease is a clinical syndrome consisting of four cardinal features:

► Bradykinesia

► Muscular rigidity

► Resting tremor

► Postural instability

بیماری پارکینسون یک سندرم بالینی است که از چهار ویژگی اصلی تشکیل شده است:

◄ برادی کینزی: حرکت آهسته

◄ سفتی عضلانی

◄ لرزش در حال استراحت

◄ بی ثباتی وضعیتی

علائم پارکینسون

Tremor of the hands even ot rest

Persistent tremors

Shuffling gait,

unbaland in aphoristic way and in small steps,

Curved in a characteristic way

لرزش دست ها حتی در حالت استراحت، 

لرزش های مداوم، 

در شروع و خاتمه راه رفتن مشکل دارد، 

قدم‌های کوتاه و ناهماهنگ،

خمیدگی به صورت بارز. 


Pharmacotherapy

►    Dopamine precursor: Levodopa

►    Peripheral decarboxylase inhibitors: Carbidopa, Benserazide

►    Dopaminergic agonists: Bromocriptine, Ropinirole, Pramipexole, Apomorphine

►    MAO-B inhibitor: Selegiline, Rasagiline

► COMT inhibitors: Entacapone, Tolcapone

► Dopamine facilitator: Amantadine

دارو درمانی 

◄ پیش ساز دوپامین: لوودوپا 

◄ مهارکننده‌های دکربوکسیلاز محیطی: کاربیدوپا، بنسرازید 

◄  آگونیست های دوپامینرژیک: بروموکریپتین، روپینیرول، پرامیپکسول، آپومورفین 

◄  مهارکننده MAO-B: سلژیلین، راساگیلین

◄ مهارکننده های COMT: انتاکاپون، تولکاپون

◄ تسهیل کننده دوپامین: آمانتادین


دارو درمانی پارکینسون


دارو درمانی بیماری پارکینسون

Drug: Levodopa

Pharmacokinetic and Interaction
➤ Oral
➤ T1⁄2-1-2 h
➤ Dose: 250-1200 mg
➤ 95% is decarboxylated in the peripheral tissues (mainly gut and liver)
➤ Use with COMT or MAO-B inhibitors prolongs duration of effect

effects

➤ Ameliorates all symptoms of PD
➤ Hypokinesia and rigidity resolve first, later tremor as well
➤ significant peripheral dopaminergic effects

Adverse effects

➤ Postural hypotension
➤ Nausea & vomiting
➤ inhibit prolactin release
➤ Arrhythmias
➤ Dyskinesias
➤Behavioral effects
➤ Motor fluctuation →wearing-off phenomena/end of dose
➤On off phenomena

دارو: لوودوپا

فارماکوکینتیک و تعامل

◄ خوراکی

◄ T1⁄2 – ۱-۲ ساعت

◄ دوز: 250-1200 میلی گرم

◄ 95 درصد است دکربوکسیله در بافت های محیطی (عمدتا روده و کبد)

◄ استفاده با مهارکننده های COMT یا MAO-B مدت اثر را طولانی می‌کند

اثرات:

◄ تمام علائم PD را بهبود می بخشد

◄ هیپوکینزی و سفتی ابتدا برطرف می شود و بعداً لرزش نیز برطرف می شود

◄ اثرات دوپامینرژیک محیطی قابل توجه

اثرات نامطلوب 

◄ افت فشار خون وضعیتی

◄ حالت تهوع و استفراغ

◄ مهار ترشح پرولاکتین

◄ آریتمی

◄ دیسکینزی

◄ اثرات رفتاری

◄ نوسانات موتور   پدیده wearing-off /end of dose

◄ پدیده On off


دارو درمانی بیماری پارکینسون لوودوپا

Drug: Levodopa

Pharmacokinetic and interaction
➤ Oral
➤ T1⁄2 – 1-2 h
➤ Dose: 250-1200 mg
➤ >95% is decarboxylated in the peripheral tissues (mainly gut and liver)
➤ Use with COMT or MAO-B inhibitors prolongs duration of effect

effect

➤ Ameliorates all symptoms of PD
➤ Hypokinesia and rigidity resolve first, later tremor as well
➤ Nausea & vomiting
➤ inhibit prolactin release
➤ significant peripheral dopaminergic effects

Adverse effects

Postural hypotension
Nausea & vomiting
Arrhythmias
Dyskinesias
Behavioral effcts
on-off and wearing-off phenomena

—————————–

Drug: Levodopa + Carbidopa

Pharmacokinetic and interaction

200 mg/ 100mg
+
50mg / 25 mg
2-3 times a day

effect

➤T1⁄2 of levodopa is prolonged & dosage is reduced to 1⁄4 th
➤ Systemic complications of DA are reduced
➤ ‘On-off’ effect is minimized as cerebral DA levels are more sustained.

Adverse effects

➤ Involuntary movements
➤ Behavioral abnormalities
➤ Excess day time sleepiness
➤ Postural hypotension

دارو: لوودوپا

فارماکوکینتیک و تعامل

◄ خوراکی

◄ T1⁄2 – 1-2 ساعت

◄ دوز: 250-1200 میلی گرم

◄ > 95% در بافت های محیطی (عمدتا روده و کبد) دکربوکسیله می شود.

◄ استفاده با مهارکننده های COMT یا MAO-B مدت اثر را طولانی می کند. 

اثر

◄ تمام علائم PD را بهبود می بخشد

◄ هیپوکینزی و سفتی ابتدا برطرف می شود و بعداً لرزش نیز برطرف می شود

◄ حالت تهوع و استفراغ

◄ مهار ترشح پرولاکتین

◄ اثرات دوپامینرژیک محیطی قابل توجه

اثرات نامطلوب

◄ افت فشار خون وضعیتی

◄ حالت تهوع و استفراغ

◄ آریتمی ها

◄ دیسکینزی ها

◄ اثرات رفتاری

◄ پدیده های on-off and wearing-off

—————————–

دارو: لوودوپا + کاربیدوپا

فارماکوکینتیک و تداخل

200 میلی گرم / 100 میلی گرم + 50 میلی گرم / 25 میلی گرم

2-3 بار در روز

اثر

◄ T1⁄2 لوودوپا طولانی شده و دوز به 1/4 کاهش می یابد.

◄ عوارض سیستمیک DA کاهش می یابد

◄ اثر “On-off” به حداقل می رسد زیرا سطوح DA مغزی، پایدارتر است.

اثرات نامطلوب

◄ حرکات غیر ارادی

◄ ناهنجاری های رفتاری

◄ خواب آلودگی زیاد در طول روز

◄ افت فشار خون وضعیتی


agonists                       features                         interaction

Bromocriptine

Oral

T K -6-10 hrs

Dose: 1.25-5 mg O.D

If used alone, doses needed are high

used only in late cases Reduces symptoms

Smooths out fluctuations

in levodopa response

Nausea and vomiting postural hypotension, dyskinesias

Pramipexole

Oral

Reduces symptoms,

Fewer GI effects

 

T K- 8 h

Starting dose-0.125 mg TDS

1-1.5 mg TDS

Smooths out fluctuations in levodopa response

dose titration for maximum improvement can be achieved in 1 -2 weeks

Nausea and vomiting Postural hypotension Day time sleepiness Hallucinations

Ropinirole

Starting dose-0.25mg

Slower rates of neuronal

Sudden attack of

 

TDS

4-8 mg TDS

degeneration ??

FDA approved for Restless Leg Syndrome

irresistible sleepiness

agonists

Bromocriptine                    

features

Oral

T K -6-10 hrs

Dose: 1.25-5 mg O.D

If used alone, doses needed are high               

interaction

used only in late cases Reduces symptoms

Smooths out fluctuations

in levodopa response

effect

Nausea and vomiting postural hypotension, dyskinesias

آگونیست ها

بروموکریپتین                     

ویژگی‌ها

دهانی

T K -6-10 ساعت [تاکسیکوسینتیک یا تاکسیکوکینتیک (Toxicokinetics)، سینتیک یک ماده شیمیایی در درون بدن موجود زنده و فرایندهای رخ‌داده برای آن، در نخستین حضور آن ماده در بدن است.] 

دوز: هر روز 5-1/25 میلی‌گرم [O.D: هر روز]

اگر به تنهایی استفاده شود، دوزهای مورد نیاز بالاست               

اثز متقابل

فقط در موارد اواخر استفاده می شود. علائم را کاهش می دهد

نوسانات را برطرف می کند

در پاسخ لوودوپا

اثر

تهوع و استفراغ، افت فشار خون وضعیتی، دیسکینزی

—–

agonists                       

Pramipexole

features                         

Oral

T K- 8 h

Starting dose-0.125 mg TDS

1-1.5 mg TDS

interaction

Reduces symptoms,

Smooths out fluctuations in levodopa response

dose titration for maximum improvement can be achieved in 1-2 weeks

effect

Fewer GI effects

Nausea and vomiting

Postural hypotensio

Day time sleepiness

Hallucinations

آگونیست ها      

پرامیپکسول

ویژگی‌ها                       

دهانی

T K- 8 ساعت

دوز شروع – 0.125 میلی گرم سه بار در روز

1-1.5 میلی گرم سه بار در روز

فعل و انفعالات

علائم را کاهش می دهد،

نوسانات پاسخ لوودوپا را برطرف می کند

تیتراژ دوز برای حداکثر بهبود را می توان در 2-1 هفته به دست آورد

اثرات

اثرات GI کمتر

تهوع و استفراغ

افت فشار خون وضعیتی

خواب آلودگی در طول روز

توهمات

——

agonists                       

Ropinirole

features                         

Starting dose-0.25 mg

TDS

4-8 mg TDS

interaction

Slower rates of neuronal degeneration ??

FDA approved for Restless Leg Syndrome

effect

Sudden attack of irresistible sleepiness

آگونیست ها: روپینیرول

ویژگی‌ها    

دوز شروع – 0.25 میلی گرم TDS

 4-8 میلی گرم TDS

اثرات تعاملی 

سرعت پایین تر انحطاط عصبی؟؟

FDA برای سندرم پای بیقرار تایید شده است

اثرات تعاملی

حمله ناگهانی خواب آلودگی غیرقابل مقاومت


Drug

Pharmacokinetics

Features and effect

Adverse effects

Apomorphine

S.C

High affinity – D4 Mod affinity – D2,3,5

Nausea and vomiting

 

2 mg test dose

low affinity – D1

postural hypotension

 

1

FDA approved as a “rescue therapy”

QT prolongation

 

6 mg

 

Injection-site reactions,

 

Lessens motor fluctuations

Hallucinations

Inj 3

times

 

Reduced frequency of on-off effect

Dyskinesia

 

daily

Restless leg syndrome

  

Abnormal behavior

Drug: Apomorphine
– Pharmacokinetics

S.C

– Features and effect

High affinity – D4 Mod affinity – D2,3,5

– Adverse effects

Nausea and vomiting

دارو: آپومورفین

– فارماکوکینتیک

S.C (تزریق زیرجلدی) 

– ویژگی ها و اثرات

میل ترکیبی بالا – D4 و میل ترکیبی میانه – D2,3,5

– اثرات نامطلوب

تهوع و استفراغ

– Pharmacokinetics

2 mg test dose

– Features and effect

low affinity – D1

– Adverse effects

postural hypotension

– فارماکوکینتیک

دوز آزمایشی 2 میلی گرم

– ویژگی ها و اثرات

میل ترکیبی کم – D1

– اثرات نامطلوب

افت فشار خون وضعیتی

– Pharmacokinetics

1 mg

– Features and effect

FDA approved as a “rescue therapy”

– Adverse effects

QT prolongation

– فارماکوکینتیک

۱ میلی‌گرم

– ویژگی ها و اثرات

تاییدیه FDA به عنوان «درمان نجات» 

– اثرات نامطلوب

طولانی شدن QT

– Pharmacokinetics

6 mg

– Features and effect

 

– Adverse effects

Injection-site reactions

– فارماکوکینتیک

6 میلی گرم

– ویژگی ها و اثرات

– اثرات نامطلوب

واکنش محل تزریق،

– Pharmacokinetics

6 mg

– Features and effect

Lessens motor fluctuations

– Adverse effects

Hallucinations

– فارماکوکینتیک

6 میلی گرم

– ویژگی ها و اثرات

نوسانات موتور را کاهش می دهد

– اثرات نامطلوب

توهمات

– Pharmacokinetics

Inj 3 times

– Features and effect

Lessens motor fluctuations

– Adverse effects

Hallucinations

– فارماکوکینتیک

تزریق 3 بار

– ویژگی ها و اثرات 

نوسانات موتور را کاهش می دهد

– اثرات نامطلوب

توهمات

– Pharmacokinetics

Inj 3 times

– Features and effect

Reduced frequency of on-off effect

– Adverse effects

Dyskinesia

– فارماکوکینتیک

اینج 3 بار

– ویژگی ها و اثرات

کاهش فرکانس اثر روشن و خاموش

– اثرات نامطلوب

اختلال حرکات ارادی

– Pharmacokinetics

daily

– Features and effect

Restless leg syndrome

– Adverse effects

Dyskinesia

– فارماکوکینتیک

روزانه

– ویژگی ها و اثرات

سندرم پای بی قرار

– اثرات نامطلوب

اختلال حرکات ارادی

– Pharmacokinetics

daily

– Features and effect

Restless leg syndrome

– Adverse effects

Abnormal behavior

– فارماکوکینتیک

روزانه

– ویژگی ها و اثرات

سندرم پای بی قرار

– اثرات نامطلوب

رفتار غیر طبیعی


مسدود کردن متابولیسم دوپامین


مهار کننده MAOB

MAO B inhibitors

Selegiline

Pk

Oral

5-10 mg/ day
BD dosing
Oral disintegrating tab
Transdermal patch

Features

selective and irreversible MAO-B inhibitor
Increases dopamine stores in neurons
Adjuvant to levodopa
20-30% reduction in levodopa dose
May accentuate the adverse motor and cognitive effects of levodopa
Metabolites of include amphetamine and methamphetamine, which may cause anxiety, insomnia, and other adverse symptoms
Do not exhibit cheese reaction

Adverse effects

Postural hypotension
Dyskinesias,
Mental confusion
Hallucination
C/I in patients with siezures
Interactions: rarely serotonin syndrome with meperidine, also with SSRIs, TCA

مهارکننده های MAO B:

سلژیلین

فارماکوکینتیک (Pk) 

دهانی 10-5 میلی گرم در روز

دو بار در روز (BD) دوز

قرص حل شونده خوراکی

پچ ترانس درمال (چسب پوستی دارای دارو) 

ویژگی‌ها

مهارکننده انتخابی و برگشت ناپذیر MAO-B

ذخایر دوپامین را در نورون ها افزایش می دهد

کمکی به لوودوپا

کاهش 20 تا 30 درصدی دوز لوودوپا

ممکن است اثرات نامطلوب حرکتی و شناختی لوودوپا را تشدید کند

متابولیت ها شامل آمفتامین و مت آمفتامین است که ممکن است باعث اضطراب، بی خوابی و سایر علائم نامطلوب شود.

واکنش پنیر را نشان ندهید. [پنیر تیرامین دارد و خوردن غذاهای حاوی تیرامین همزمان با مصرف داروهای مهارکننده مونوآمین اکسیدازها موجب افزایش فشار خون و حمله‌های میگرنی می‌شود و ممکن است طوفان سرتونین ایجاد کند .

پنیر می‌تواند باعث میگرن در مصرف کنندگان مهارکننده های مونوآمینوکسیداز شود. اگر مهارکننده‌های مونوآمینوکسیداز همزمان با غذای حاوی تیرامین یا دوپامین مصرف شود، بحران فشار خون بالا ممکن است رخ دهد. این اثر واکنش پنیر نامیده می‌شود زیرا پنیر رسیده دارای محتوای تیرامین بالایی است.] 

اثرات نامطلوب

افت فشار خون وضعیتی

دیسکینزی،

سردرگمی ذهنی

توهم

C/I در بیماران مبتلا به سیزور

تداخلات: به ندرت سندرم سروتونین با مپریدین، همچنین با SSRIs (مهارکننده‌های انتخابی بازجذب سروتونین)،  (تری سایکلیک ضد افسردگی) TCA


مهار کننده MAOB سلژیلین

MAO B Inhibitors

Selegiline

Pk

Oral 
5-10 mg/day
Oral disintegrating tab
Transdermal patch

Features

selective and irreversible MAO-B inhibitor
 Increases dopamine stores in neurons
Adjuvant to levodopa
 20-30% reduction in levodopa dose
May accentuate the adverse motor and cognitive effects of levodopa
Metabolites of include amphetamine and methamphetamine, which may cause anxiety, insomnia, and other adverse symptoms
Do not exhibit cheese reaction

Adverse effects

Postural hypotension Dyskinesias,
Dyskinesias,
Mental confusion or
hallucination
C/I in patients with seizures
Interactions: serotonin syndrome with meperidine, also with SSRIs, TCA

مهارکننده های MAO B

سلژیلین

Pk

دهانی 

5-10 میلی گرم در روز

قرص حل شونده خوراکی

پچ ترانس درمال (چسب پوستی) 

ویژگی‌ها

مهارکننده انتخابی و برگشت ناپذیر MAO-B  

ذخایر دوپامین را در نورون ها افزایش می دهد

ادجوانت لوودوپا  

کاهش 20 تا 30 درصدی دوز لوودوپا

ممکن است اثرات نامطلوب حرکتی و شناختی لوودوپا را تشدید کند

متابولیت ها شامل آمفتامین و مت آمفتامین است که ممکن است باعث اضطراب، بی خوابی و سایر علائم نامطلوب شود.

واکنش پنیر را نشان ندهید

اثرات نامطلوب

افت فشار خون وضعیتی

دیسکینزی،

آشفتگی ذهنی یا

توهم

C/I در بیماران مبتلا به تشنج

تداخلات: سندرم سروتونین با مپریدین، همچنین با SSRIs ،TCA

………….. 

MAO B Inhibitors

Rasagiline

Pk

5x potent
0.5-1.0 mg tab
OD dosing

Features

No undesirable amphetamine metabolites
Effective in early PD??
Adjunctive therapy significantly reduced levodopa-related “wearing off” symptoms
Neuroprotective (Parkinson Study Group, 1993; Yacoubian and Standaert, 2008, Olanow, 2008, ).

Adverse effects

Stupor, rigidity, agitation, and hyperthermia when administered with Meperidine

مهارکننده های MAO B

راساگیلین (راساژیلین) 

Pk

5 برابر قوی

0.5-1.0 میلی گرم قرص دوز روزانه (OD) 

ویژگی‌ها

بدون متابولیت های نامطلوب آمفتامین

موثر در اوایل PD؟؟

درمان کمکی به طور قابل توجهی علائم «wearing off» مربوط به لوودوپا را کاهش داد [ به «بدتر شدن انتهای دوز (end-of-dose deterioration)»، «پدیده نوسانات ناشی از اتمام اثر دوز تا موعد دوز بعدی دارو (wearing off phenomenon)» نیز گفته می‌شود.] 

محافظ عصبی (گروه مطالعاتی پارکینسون، 1993؛ یاکوبیان و استاندرت، 2008، اولانو، 2008،).

اثرات نامطلوب

گیجی، سفتی، بی قراری و هیپرترمی هنگام تجویز با مپریدین


مهار کننده COMT

COMT inhibitors

Entacapone

Pk

Oral
600-2000 mg
BD or TDS

Features

Adjuvants to levodopa-carbidopa
Advanced cases
Reduces metabolism of levodopa and prolongs its action

Adverse effects

Increased levodopa conc
Nausea
dyskinesia 
confusion
Postural hypotension

مهارکننده های COMT

انتاکاپون

Pk

دهانی

600-2000 میلی گرم دو یا سه بار در روز

ویژگی‌ها

کمک کننده های لوودوپا-کاربیدوپا

موارد پیشرفته

متابولیسم لوودوپا را کاهش می دهد و اثر آن را طولانی می کند

اثرات نامطلوب

افزایش غلظت لوودوپا

حالت تهوع

اختلال حرکات ارادی 

گیجی

افت فشار خون وضعیتی

………… 
COMT inhibitors

Tolcapone

Pk

Oral
100-300 mg
BD or TDS

Features

Longer acting
Enters CNS

Adverse effects

hypotension
Hepatotoxic??

مهارکننده های COMT

تولکاپون

Pk

دهانی

100-300 میلی گرم دو یا سه بار در روز

ویژگی‌ها

فعالیت طولانی تر

وارد CNS می شود

اثرات نامطلوب

افت فشار خون

هپاتوتوکسیک؟؟


داروها پارکینسون گلوتامات

Drugs

Glutamate (NMDA receptor) antagonist; Amantadine

Pk

Oral
T1⁄2 8 to 12 hrs
100 mg BD

Features

Promotes presynaptic synthesis & release of DA in brain
Suppresses motor fluctuations & abnormal movements
Smoothen wearing off
Anticholinergic property

Adverse effects

Insomnia
Restlessness
Confusion
Nightmares
Hallucination
Livedo reticularis
Ankle edema

دارو

آنتاگونیست گلوتامات (گیرنده NMDA). آمانتادین

Pk

دهانی

T1⁄2 8 تا 12 ساعت

100 میلی گرم دو بار در روز

ویژگی‌ها

سنتز پیش سیناپسی و آزادسازی DA را در مغز تقویت می کند

نوسانات حرکتی و حرکات غیرطبیعی را سرکوب می کند

تسکین wearing off

خاصیت آنتی کولینرژیک

اثرات نامطلوب

بیخوابی

بی قراری

گیجی

کابوس ها

توهم

Livedo reticularis (اصطلاحات پزشکی برای الگوی توری شکل) 

ادم مچ پا


دوپامین و سیگنالینگ پاداش

دوپامین و سیگنالینگ پاداش


The Final Common Pathway of Reward

► A natural high or drug induced high is mediated by the mesolimbic

dopamine pathway which is sometimes referred to as the pleasure center of the brain, with dopamine as the pleasure neurotransmitter.

آخرین مسیر مشترک پاداش

◄ افزایش طبیعی یا افزایش ناشی از دارو توسط مزولیمبیک ایجاد می شود

مسیر دوپامین که گاهی به عنوان مرکز لذت مغز و دوپامین به عنوان انتقال دهنده عصبی لذت شناخته می شود.

آخرین مسیر مشترک پاداش


داروهای مورد سو استفاده؛ اعتیاد


What is addiction (biological view):

  • A physiological response to repeated use of drugs that cause:
  • Tolerance
  • Dependence
  • Withdrawal
  • Craving

اعتیاد چیست (دیدگاه بیولوژیکی):

پاسخ فیزیولوژیکی به استفاده مکرر از داروهایی که باعث:

تحمل،

وابستگی،

ترک آن همراه با دشواری های جسمی و روحی

میل شدید و پایدار

اعتیاد


What is addiction(psychological view):

1. compulsion to seek and take the drug

2. Loss of control in limiting intake

3. Positive and negative reinforcements

اعتیاد چیست (دیدگاه روانشناسی):

1. اجبار به جستجو و مصرف ماده مخدر

2. از دست دادن کنترل در محدود کردن مصرف

3. تقویت های مثبت و منفی

اعتیاد چیست روانشناسی


رفتار تکانشی

Impulsive cycle
STOP ME BECAUSE I CAN’T MYSELF
▸ Occasional substance use is an impulse choice driven by positive reinforcement of the drug’s expected effect
▸ This teaches the brain to anticipate reward on subsequent exposure to the drug
▸ When the substance is taken, pleasure will be experienced again, usually followed by regret

چرخه تکانشی

منو متوقف کن چون خودم نمیتونم

◄ مصرف گاه به گاه مواد یک انتخاب تکانشی است که با تقویت مثبت اثر مورد انتظار ماده مخدر انجام می شود.

◄ این به مغز می آموزد که در مواجهه بعدی با ماده مخدر، پاداش را پیش‌بینی کند

◄ وقتی ماده مصرف می شود، لذت دوباره تجربه می شود و معمولاً پشیمانی به دنبال دارد


سیکل اجباری

Compulsive cycle
▸ With repeated exposure to the drug neurobiological changes occur in the brain
› leads to craving,
reduced reward on drug exposure withdrawal during abstinence (negative reinforcement)
▸ This leads to craving which is released by drug ingestion

چرخه اجباری

◄ با قرار گرفتن مکرر در معرض ماده مخدر، تغییرات عصبی زیستی در مغز رخ می دهد

› منجر به ولع می شود،

کاهش پاداش در ترک مواجهه با مواد مخدر در طول پرهیز (تقویت منفی)

◄ این منجر به ولع می شود که با مصرف ماده مخدر از آن خلاص می‌شوید


Substance Abuse

> Nucleus Accumbens

► Occurs due to increased release of dopamine caused by the psychotropic substances like

► morphine

► heroin

► Cannabis

► cocaine

► nicotine

Exercise

Shoplifting

Shopping

Internet

سو مصرف مواد

سوء مصرف مواد

>  هسته اکومبنس

◄ به دلیل افزایش ترشح دوپامین ناشی از مواد روانگردان مانند

◄ مورفین

◄ هروئین

◄ شاهدانه

◄ کوکائین

◄ نیکوتین

ورزش

دزدی از فروشگاه

خريد كردن

اینترنت


مسیرهای پاداش

craving: میل شدید ولع، ویار

hoarding: بیلبورد

gambling: قماربازی

appetite: اشتها


اختلال کم‌توجهی-بیش‌فعالی

Attention deficit hyperactivity disorder: ADHD

نقص توجه-بیش‌فعالی


اختلال کم‌توجهی-بیش‌فعالی؛ ADHD

Attention deficit hyperactivity disorder
➤ Decrease In Dopamine Level in Anterior frontal cortex
➤ An area associated with cognitive function such as
➤ Attention
➤Concentration
CORE SYMPTOMS OF ADHD
1 INATTENTION
2 IMPULSIVITY
3 HYPERACTIVITY

اختلال کمبود توجه بیش فعالی
◄ کاهش سطح دوپامین در قشر پیشانی قدامی
◄ ناحیه مرتبط با عملکرد شناختی مانند
    ◄ توجه
    ◄ تمرکز
علائم اصلی ADHD
1 بی توجهی
2 تکانشگری
3 بیش فعالی


Dopamine & ADHD

► Defects in “dopamine transporters” in brain

► Dopamine transporter density (DTD)

► The transporters take up too much dopamine before it can be passed from one brain cell to another

► Decreased dopamine activity

دوپامین و ADHD

◄ نقص در «ترانسپورترهای دوپامین» در مغز

◄ تراکم ناقل دوپامین (DTD)

◄ ناقل‌ها قبل از اینکه از دوپامین یک سلول مغزی به سلول دیگر منتقل شود، مقدار زیادی از آن را جذب می‌کنند. 

◄ کاهش فعالیت دوپامین


Pharmacotherapy

► Methylphenidate and Amphetamine

►    Increase both dopamine and norepinephrine levels in brain

►    Methylphenidate-5 mg at morning & lunch gradually increased to 60 mg

►    10-30 mg/ day amphetamine

►    Adverse effects

►    Restlessness, dizziness, tremor, hyperactive reflexes,

talkativeness, irritability, insomnia & euphoria.

Confusion, aggressiveness & delirium

دارو درمانی

◄ متیل فنیدات و آمفتامین

◄ سطح دوپامین و نوراپی نفرین را در مغز افزایش دهید

◄ متیل فنیدات – 5 میلی گرم در صبح و ناهار به تدریج به 60 میلی گرم افزایش یافت

◄ 10-30 میلی گرم در روز آمفتامین

◄ اثرات نامطلوب

◄ بیقراری، سرگیجه، لرزش، رفلکس های بیش فعال، پرحرفی، تحریک پذیری، بی خوابی و سرخوشی. سردرگمی، پرخاشگری و هذیان


► Dopaminergic Tubero-infundibular tract & hypophyseal portal system

◄ دستگاه توبرو-اینفوندیبولار دوپامینرژیک و سیستم پورتال هیپوفیزیال

◄ دستگاه توبرو-اینفوندیبولار دوپامینرژیک و سیستم پورتال هیپوفیزیال


►    Bromocriptine

►    Start at a low dose (1.25 mg) at bedtime After 1 week, a morning dose of 1.25 mg can be added.

►    If clinical symptoms persist or prolactin levels remain elevated, the dose can be increased gradually, every 3-7 days

►    5 mg BD or TDS as tolerated

►    Cabergoline

►    Ergot derivative with a longer t1/2 (65 hours)

►    Higher affinity & greater selectivity for the D2 receptor ( 4x potent) than bromocriptine

►    Induces remission

►    0.25 mg twice/week or 0.5 mg once/week can be ^ to 2mg twice or thrice/ week

◄ بروموکریپتین

◄ با دوز کم (1.25 میلی‌گرم) قبل از خواب شروع کنید بعد از 1 هفته، می‌توان دوز صبح 1.25 میلی‌گرم را اضافه کرد.

◄ اگر علائم بالینی ادامه یابد یا سطح پرولاکتین بالا بماند، می توان دوز را به تدریج و هر 3 تا 7 روز افزایش داد.

◄ 5 میلی گرم دو یا سه بار در روز در صورت تحمل

◄ کابرگولین

◄ مشتق ارگوت با نیمه عمر (t1/2) طولانی‌تر (65 ساعت)

◄ تمایل بیشتر و انتخاب پذیری بیشتر برای گیرنده D2 (۴ برابر قوی) نسبت به بروموکریپتین

◄ باعث بهبودی می‌شود

◄ 0.25 میلی گرم دو بار در هفته یا 0.5 میلی گرم یک بار در هفته می تواند ^ تا 2 میلی گرم دو یا سه بار در هفته باشد.


Schizophrenia 

► Defective dopamine neurotransmission – relative excess of central dopaminergic activity

► An increase in DA function in the mesolimbic system (postive symptom)

► Decreased function in the mesocortical DA system (negative symptoms)

► Behavior similar to the behavioral effects of psychostimulants

شیزوفرنی، روان‌گسیختگی، اسکیزوفرنی

◄ انتقال عصبی دوپامین ناقص است – فعالیت دوپامینرژیک مرکزی، بیش از حد نسبی است. 

◄ افزایش عملکرد DA در سیستم مزولیمبیک (علامت مثبت)

◄ کاهش عملکرد در سیستم DA مزوکورتیکال (علائم منفی)

◄ رفتاری شبیه به اثرات رفتاری محرک‌های روانی


Dopamine hypothesis..

►    Came to existence from the fortuitous discovery of chlorpromazine’s therapeutic efficacy in schizophrenia

►    Carlsson –

►    Postsynaptic D2 receptor antagonism was the common mechanism that explained antipsychotic properties

►    Reserpine, exhibited antipsychotic properties by decreasing dopaminergic neurotransmission

► High risk for drug-induced psychosis with drugs that directly increase synaptic dopamine availability, including

Cocaine, amphetamines & L-dopa

فرضیه دوپامین: 

◄ از کشف تصادفی اثر درمانی کلرپرومازین در اسکیزوفرنی به وجود آمد.

◄ کارلسون

◄ آنتاگونیست گیرنده D2 پس سیناپسی مکانیسم رایجی بود که خواص ضد روان پریشی را توضیح می داد.

◄ رزرپین، با کاهش انتقال عصبی دوپامینرژیک، خواص ضد روان پریشی از خود نشان داد.

◄ خطر بالای روان پریشی ناشی از مواد مخدر با داروهایی که مستقیماً در دسترس بودن دوپامین سیناپسی را افزایش می دهند، از جمله کوکائین، آمفتامین ها و ال-دوپا


Genetic basis

>    Synaptic DA availability Val{108/1 58}

>    Met polymorphism of COMT

>    DA neurotransmission (dysbindin)

پایه ژنتیکی

> در دسترس بودن دوپامین سیناپسی Val108/158

> پلی مورفیسم Met در ژن COMT

>    انتقال عصبی DA (ژن دیسبندین)


داروهای ضد روان پریشی

Antipsychotic Typical

Phenothiazines

Mechanism of action

Blockade of D2>>5HT2A

Toxicity

Akathisia,

Dystonia,

….. 

Antipsychotic Typical

Chlorpromazine

Mechanism of action

 

Toxicity

Parkinson symptom

….. 

Antipsychotic Typical

Fluphenazine

Mechanism of action

Also blocker of alpha

Toxicity

Tardive dyskinesia,

….. 

Antipsychotic Typical

  Thioridazine

Thioxanthenes

Thiothixene

flupenthixol

Mechanism of action

M1, H1

Toxicity

Hyperprolactinemia

….. 

Antipsychotic Typical

Butyrophenones

Haloperidol

Mechanism of action

Blockade of D2>>5HT2A

Toxicity

Extrapyrimidal dysfunction

….. 

Antipsychotic Typical

Droperidol

Mechanism of action

Alpha 1and minimal

Toxicity

….. 

Antipsychotic Typical

Domperidone

Mechanism of action

M 1blockade

Toxicity

آنتی سایکوتیک معمولی

فنوتیازین ها

مکانیسم عمل

محاصره D2>>5HT2A

سمیت

آکاتیسیا [بی‌قراری حرکتی اختلالی حرکتی است]، 

دیستونی [دُش‌کِشَنگ یا بدقَوامی ماهیچه‌ها، به معنای انقباض غیرارادی مکرر و طولانی در یک عضله یا در گروهی از عضلات یا بروز وضعیت‌های بدنی خاص است و در واقع یک اختلال حرکتی– عصبی محسوب می‌شود.]،

…..

آنتی سایکوتیک معمولی

کلرپرومازین

مکانیسم عمل

سمیت

علامت پارکینسون

…..

آنتی سایکوتیک معمولی

فلوفنازین

مکانیسم عمل

همچنین مسدود کننده آلفا

سمیت

دیسکینزی [اختلال حرکتی است که اغلب شامل کندی حرکات ارادی یا حرکات مکرر غیر ارادی مانند تیک‌های عصبی و رقصاک است] دیررس،

…..

آنتی سایکوتیک معمولی

تیوریدازین

تیوکسانتن ها

تیوتیکسن

فلوپنتکسول

مکانیسم عمل

M1، H1

سمیت

هیپرپرولاکتینمی

…..

آنتی سایکوتیک معمولی

بوتیروفنون ها

هالوپریدول

مکانیسم عمل

مسدود کننده D2>>5HT2A

سمیت

اختلال عملکرد اکستراپیریمیدال

…..

آنتی سایکوتیک معمولی

دروپریدول

مکانیسم عمل

آلفا 1 و مینیمال

سمیت

 

…..

آنتی سایکوتیک معمولی

دومپریدون

مکانیسم عمل

مسدود کننده M1

سمیت

 


ضد سایکوز

Antipsychotic Atypical

Aripiprazole
Clozapine 
Olanzapine
Quetiapine
Risperidone
Ziprasidone
Paliperidone
Iloperidone

Mechanism of action

Blockade of 5HT2A>D2
Alpha1&
M 1 blockade variable H1 blockade

toxicity

Agranulocytosis(Clozapine) Weight gain
lower seizure threshold Catract
QT prolongation

آنتی سایکوتیک آتیپیک

آریپیپرازول
کلوزاپین
اولانزاپین
کوتیاپین
ریسپریدون
زیپراسیدون
پالیپریدون
ایلوپریدون

مکانیسم عمل

مسدود کننده 5HT2A>D2

مسدودکننده آلفا1 & M1 مسدودکننده واریته‌های H1 

سمیت

آگرانولوسیتوز (کلوزاپین)

افزایش وزن

آستانه تشنج پایین

آب مروارید یا کاتاراکت

طولانی شدن QT


دوپامین و CVS

دوپامین و سیستم قلبی عروقی


Dopamine and CVS

►    D1 and D2

►    β1 & α1 agonist

►   Effect on CVS is dose dependent

دوپامین و سیستم قلبی عروقی

►    D1 و D2

►    آگونیست β1 و α1

►   تأثیر بر سیستم قلبی عروقی وابسته به دوز است

Low dose 1 -2 mcg/kg/min

Moderate dose 3-10mcg/kg/min

High dose >10 mcg/kg/min

D 1

3 1

a action predominates

renal and mesenteric

t H.R

t contractility t AV conduction

vasoconstriction

blood vessels dilates

 

t G.f.r.

t Renal blood flow

t C.O & SBP

TPR t

Natriuresis

TPR unaltered

 

 

►  C.O & SBP with little effect on DBP

►    No effect on nonvascular ai receptors

►    Does not penetrate blood-brain barrier-no CNS effects

► Management of low cardiac output states associated with compromised renal function

► IV infusion (0.2-1 mg/min) which is regulated by monitoring BP and rate of urine formation

►    C.O & SBP با تأثیر کمی بر DBP

►    تأثیری بر گیرنده های غیر عروقی ai ندارد

►    به سد خونی مغزی نفوذ نمی‌کند – بدون اثرات CNS

◄ مدیریت حالات برون ده قلبی پایین مرتبط با عملکرد کلیوی به خطر افتاده

◄ انفوزیون وریدی (0.2-1 میلی گرم در دقیقه) که با نظارت بر فشار خون و سرعت تشکیل ادرار تنظیم می شود.


Low output states & oliguria

►    Dopamine -only IV, preferably into a large vein

►    calibrated infusion pump

Dosage

►    Initially at a rate of 2-5 mcg/kg per min; this rate may be increased gradually up to 20-50 mcg/kg per min or more

►    Monitoring of arterial and venous pressures and the ECG

Adverse effects & precautions

Nausea, tachycardia, anginal pain, arrhythmias, HTN headache

Extravasation of DA during infusion may cause ischemic necrosis and siouahing

حالات خروجی کم و الیگوری (کم ادراری) 

◄ دوپامین – فقط وریدی، ترجیحاً در ورید بزرگ

◄ پمپ تزریق کالیبره شده

دوز

◄ در ابتدا با نرخ 5-2 میکروگرم بر کیلوگرم در دقیقه؛ این میزان ممکن است به تدریج تا 50-20 میکروگرم بر کیلوگرم در دقیقه یا بیشتر افزایش یابد

◄ پایش فشارهای شریانی و وریدی و نوار قلب

عوارض جانبی و اقدامات احتیاطی

تهوع، تاکی کاردی، درد آنژین، آریتمی، سردرد HTN

اکستراوازیشن DA در طول انفوزیون ممکن است باعث نکروز ایسکمیک و (siouahing) شود


Fenoldopam

Agonist for peripheral D1 receptors and antagonist to a2 receptors

No significant affinity for D2, a , or 3 receptors

►    Rapidly acting(4 mins) and short duration of action (< 10 minutes) vasodilator used for control of severe hypertension

► Dilates Coronary arteries, renal afferent and efferent arterioles and mesenteric arteries

Dosage

►    Calibrated infusion pump @ 01 -1.6 g/kg per min

Adverse effects are related to the vasodilation and

headache, flushing, dizziness, and tachycardia or bradycardia

فنولدوپام

آگونیست برای گیرنده های D1 محیطی و آنتاگونیست گیرنده های a2 هیچ تمایل قابل توجهی برای گیرنده های D2، a یا 3 وجود ندارد

◄   گشادکننده عروق با اثر سریع (۴ دقیقه) و مدت اثر کوتاه (کمتر از ۱۰ دقیقه) برای کنترل فشار خون شدید استفاده می‌شود.

◄ گشاد کننده عروق کرونر، شریان های آوران و وابران کلیه و شریان های مزانتریک دوز

◄    پمپ انفوزیون کالیبره شده @ 01 -1.6 گرم بر کیلوگرم در دقیقه عوارض جانبی مربوط به اتساع عروق و سردرد، گرگرفتگی، سرگیجه و تاکی کاردی یا برادی کاردی


Dopexamine

►    Synthetic analog related to DA

►    D1 and D2 receptors as well as at β2 receptors

►    Patients with severe congestive heart failure, sepsis, and shock

►    Patients with low cardiac output, significantly increases stroke volume with a decrease in SVR

►    Tachycardia and hypotension can occur, usually only at high infusion rate

دوپکسامین

◄    آنالوگ مصنوعی مربوط به DA

◄   گیرنده‌های D1 و D2 و همچنین در گیرنده‌های β2

◄    بیماران مبتلا به نارسایی احتقانی قلب شدید، سپسیس و شوک

◄    بیماران با برون ده قلبی پایین، حجم سکته مغزی را با کاهش SVR به طور قابل توجهی افزایش می دهد.

◄   تاکی کاردی و افت فشار خون معمولاً فقط با سرعت انفوزیون بالا ممکن است رخ دهد


Dopamine & emesis

دوپامین و استفراغ

دوپامین و استفراغ


مرکزهای استفراغ


Metoclopramide

►    Blocks D2-receptors, agonist at 5HT4 and in high doses blocks: 5-HT3

►    Antiemetic action

►    Accelerate gastric emptying (prokinetic)

►    Raises LES pressure

►    Increases intestinal peristalsis

متوکلوپرامید

◄    گیرنده‌های D2 را مسدود می‌کند، آگونیست 5HT4 و در دوزهای بالا مسدود کننده: 5HT3

◄    عمل ضد استفراغ

◄   تسریع تخلیه معده (پروکینتیک)

◄  فشار عضله تنگ‌کننده‌ی پایینی مری (LES) را افزایش می‌دهد. 

◄   پریستالسیس (حرکت کرمی) روده را افزایش می دهد. 


>    Orally it acts in V2 to 1 hr

>    10 min after I.M. and 2 min after I.V. inj

>    Action lasts for 4-6 hours

Interactions

>    Hastens the absorption of many drugs, e.g. aspirin, diazepam(facilitating gastric emptying)

>    It reduces absorption of digoxin

>    Blocks D2 in basal ganglia, abolishes the therapeutic effect of levodopa

Adverse effects

Sedation, dizziness, loose stools, muscle dystonia

Long term use can cause parkinsonism, galactorrhea and gynecomastia

>    به صورت خوراکی در V2 تا 1 ساعت عمل می کند

>    10 دقیقه بعد از تزریق ماهیچه ای و 2 دقیقه بعد از تزریق وریدی

>    عملکرد ۴ تا ۶ ساعت طول می‌کشد

فعل و انفعالات

>    جذب بسیاری از داروها را تسریع می کند، به عنوان مثال آسپرین، دیازپام (تسهیل کننده تخلیه معده)

>    جذب دیگوکسین را کاهش می دهد

>    D2 را در گانگلیون های قاعده‌‌ای بلوک می کند، اثر درمانی لوودوپا را از بین می برد.

اثرات نامطلوب

آرام بخش، سرگیجه، مدفوع شل، دیستونی عضلانی

استفاده طولانی مدت می تواند باعث پارکینسونیسم، گالاکتوره (ترشح شیر از پستان بدون بارداری) و ژنیکوماستی (بزرگی سینه در مردان) شود


Domperidone

►    Prokinetic action is not blocked by atropine and is based only on D2 blockade in upper g.i.t.

►    Crosses BBB poorly

►    levodopa or bromocriptine, it counteracts their dose limiting emetic action without affecting the therapeutic effect in parkinsonism

►    Oral 10-40 mg TDS, BA ~1 5% due to FPM

►    EPS are rare, but hyperprolactinaemia can occur

►    Cardiac arrhythmias on rapid i.v. injection.

دومپریدون

◄ عمل پروکینتیک توسط آتروپین مسدود نمی شود و فقط بر اساس بلوک D2 در قسمت فوقانی g.i.t است. 

◄  از سد خونی مغزی بسیار اندک عبور می‌کند

◄   لوودوپا یا بروموکریپتین، بدون تأثیر بر اثر درمانی در پارکینسونیسم، با اثر استفراغی محدود کننده دوز آنها مقابله می کند. 

◄ خوراکی 10-40 میلی گرم TDS (سه بار در روز)، BA ~ 1 5٪ به دلیل FPM [اثر عبور اول یا پدیده اولین دوز دارو (First pass effect) که با نام اثر عبور اول کبدی نیز شناخته می‌شود، پدیده‌ایست که در متابولیسم یک دارو رخ داده و در نتیجه غلظت پلاسمایی دارو پیش از رسیدن به همه بدن، کاهش قابل توجهی پیدا می‌کند] 

◄  عوارض خارج هرمی (EPS: Extrapyramidal symptoms) نادر است، اما هیپرپرولاکتینمی ممکن است رخ دهد

◄   آریتمی‌های قلبی در تزریق سریع داخل وریدی


Which is a better antiemetic?

► Metoclopramide or Domperidone ?

کدوم ضد تهوع بهتر است؟ 

◄ متوکلوپرامید یا دومپریدون؟


Phenothiazines & Butyrophenones

> Phenothiazines

            > Prochlorperazine

           > Promethazine

> Phenothiazines are antipsychotics with potent antiemetic property due to D2 antagonism.

> Butyrophenone

         > Droperidol

> Droperidol used for postop. nausea & vomiting, but Cause QT prolongation.

فنوتیازین ها و بوتیروفنون ها

> فنوتیازین ها

       > پروکلروپرازین

       > پرومتازین

فنوتیازین‌ها به دلیل آنتاگونیستی D2، داروهای ضد روان پریشی دارای خاصیت ضد استفراغ قوی هستند.

> بوتیروفنون

     > دروپریدول

> دروپریدول برای حالت تهوع و استفراغ پس از عمل جراحی استفاده می‌شود، اما باعث طولانی شدن QT شود.


CV استاد گرانقدر و نخبه جهانی آقای دکتر محمدرضا زرین دست




امتیاز نوشته:

میانگین امتیازها: 5 / 5. تعداد آراء: 3

اولین نفری باشید که به این پست امتیاز می‌دهید.

داریوش طاهری

نه اولین، اما در تلاش برای بهترین بودن؛ نه پیشرو در آغاز، اما ممتاز در پایان. ---- ما شاید آغازگر راه نباشیم، اما با ایمان به شایستگی و تعالی، قدم برمی‌داریم تا در قله‌ی ممتاز بودن بایستیم.

دیدگاهتان را بنویسید

نشانی ایمیل شما منتشر نخواهد شد. بخش‌های موردنیاز علامت‌گذاری شده‌اند *

دکمه بازگشت به بالا